技术课 | 今天你了解到的可不一斑(下)
上期,针对目前行业中对于散斑的一些不正确的见解——“无论什么光源,都可以产生光学干涉现象,也就是说‘任何光源都可以产生散斑现象’”进行了分析说明,受到了很多高能学霸小伙伴的欢迎,那么今天我们将继续和大家分享一些不一“斑”的知识。
关于是否存在原生无散斑
行业某文章歧义观点截图


图 1.原文章中的截图
在这部分,原文以之前“任何光源都可以产生散斑现象”
为前提推出了不正确论点,即
“不存在原生无散斑”。
而通过上期分析,可以看到如果光源不是激光器等相干光源,是看不到散斑现象的。
而荧光是典型的非相干光,
就是原生无散斑的!
另外,客观来说,荧光激光放映技术虽然绿光和红光用的是荧光(为何这样说?请参考下图漫画),

图2.荧光激光放映技术示意漫画
但蓝光用的仍然是激光,因此确实含有激光成分。小编这里计算了一下荧光激光放映中激光成分的比例,如图3所示,以输出60000 lm的DCI标准的白光为例,RGB三基色激光放映机的光机需要输出45.8 W的蓝激光、81.0 W的绿激光和112.9 W的红激光,而荧光激光的光机只需要输出46.7 W的蓝激光和119.7 W的荧光。即荧光激光输出的相干光成分不到RGB的1/5。使用原文中引用的一句话,“任何抛开剂量谈毒性的,都是耍流氓”,在观影过程中,激光散斑主要影响的是观众的观影感受,是一个视觉心理量,人眼是有分辨阈值的,目前对激光散斑对比度的标准制定正在紧锣密鼓的制定中,也就是说,只要激光散斑对比度在某个阈值以下,观众是没法察觉的。这里小编悄悄透露一下,目前在各种标准的测量中,和其他激光放映机相比,荧光激光放映机的散斑对比度是最低的哦,没有之一!与标准测量相互验证的是,在实际的产品运作中,荧光激光放映机的运营者均没有花额外的成本去消散斑,因为不需要,这也是为什么荧光激光技术敢号称“原生态,无散斑”的原因。
图3. 产生60000 lm白光时(a)RGB需要的激光功率,(b)荧光激光需要的激光和荧光功率
另外,荧光也正是一种消散斑的有效手段。关于是否存在原生无散斑这个问题,我们已经讨论完了,接下来让我们继续看下一个歧义的观点。关于散斑的安全性
行业某文章歧义观点截图


图 4. 原文章中的截图
在这部分,对于散斑的安全性问题,某些文章认为激光放映机的屏幕反射光对人眼是安全的,因此散斑对人眼无害。小编承认屏幕反射光对人眼确实是安全的,不仅如此,激光放映机内部的原始激光在经过一系列光学器件后,被均匀地散布在宽阔区域,从投影镜头射出的不再是非常强的窄平行光束,不再具有原始激光的危险能量。因此,国际电工委员会(IEC)在2015年正式将激光放映机的分类从激光标准(IEC 50825-1: 2014)更改为了灯光标准(IEC 62471-5: 2015) [4]。但大家不要忽视灯光标准中的强光危害哦,某文贴出的报告中也指出了,“距离激光放映机出光口0.25m至2.5m功率密度的变化范围为1.97x103W/m2至213W/m2,超出人眼安全阈值,应避免人眼接触。距离激光放映机出光口2.5m以上时,低于短时间(0.1~1秒)照射最大允许量,在人眼正常反应时间内可以采取保护性反应而不会出现照射时间过长意外损伤,因此属于人眼短时间照射安全范围。”也就是说,如果不小心直视了投影光,会对人眼安全造成威胁,且距离越近,光强越强,对人眼的伤害越强。那么,激光散斑会加深这种强光伤害吗?答案是,会的!
为此小编进行过深入的研究和推算,推算过程有点长,但作为科学探讨也贴在这,大家如果不愿看可以跳过,直接看最后的结论。
当人眼看向放映的光束时,由于该光束是已经被散射过的相干光,因此会在人眼视网膜上形成散斑图样,即视网膜上会有强度随机分布的亮斑和暗斑。下面我们给出视网膜上散斑的尺寸和强度。
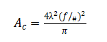
由文献 [5]可知,在带镜头的CCD相机上成像的散斑的平均尺寸为:

(1)
其中f/#为相机镜头的f-number,即

(2)
其中f为镜头焦距,为镜头孔径的直径。
人眼结构类似于CCD相机,其焦距f为22.8mm [6],瞳孔直径D为3.2mm [7]。因此,对于638nm、525nm和465 nm的红绿蓝光,人眼视网膜上的散斑平均尺寸分别为26.32μm2、17.82μm2和13.98μm2在人眼视网膜中央凹区域,视锥细胞(感光细胞)的平均密度为191000mm-2即视网膜上单个像素点的平均尺寸为5.24μm2,因此单个散斑平均可以覆盖3~5个视锥细胞。
在激光散斑成像中,散斑强度是一个随机量,通过Goodman的“随机行走”理论 [3],可以获得散斑强度的概率密度函数。在单个散斑平均覆盖3~5个视锥细胞的情况下,视网膜感受到的散斑强度的概率密度函数为图5所示的负指数函数 [3],其概率密度函数为:

(3)
其中(I)表示散斑的平均强度,即同功率非相干光到达视网膜时的光强。

图5. 散斑强度测试结果的直方图
实线表示负指数函数 [3]
在实际应用中,我们更关心散斑强度超过一定阈值的概率,该概率为:

(4)
从公式(4)可以看出,视网膜上某处感光细胞的散斑强度有5%的概率超过3倍平均强度,有0.01%的概率超过9倍平均强度,当散斑强度超过安全限值,将会导致该处感光细胞的损伤。
以DCI标准的白光为例,RGB三色激光放映机在视网膜上产生平均强度为I0的光强时,人眼视网膜上不同区域的散斑强度分布如图6 (a)所示,从中可以看到,局部的视锥细胞需要承受9I0的光强。而如果为激光荧光,则由于大部分为荧光,相干光成分较少,前文计算可知相干光成分不到RGB的1/5,因而该部分的视锥细胞只需承受2I0的光强,荧光远小于RGB的光强伤害。9倍的强光伤害你想感受一下吗?

图6.(a)RGB三色激光投影
和(b)荧光激光放映在视网膜上产生的散斑强度分布
今天,关于行业一些文章对散斑的观点,我们分析到此结束。但小编想说的是,在激光显示领域,我们都需要拿出正确的态度来对待激光散斑这个拦路虎,不论是为了更好的观影体验,还是为了降低强光伤害风险,都需要想办法去尽量降低激光散斑,而不要去回避它。目前即使已经有大量手段来消散斑,学术界也还在继续研究更便宜更有效更稳定的消散斑方式,附上今年最近的一篇消散斑的文献 [9],如果散斑不需要解决,为何学术界还乐此不疲的研究呢。事实上,荧光也正是一种消散斑的有效手段,目前荧光激光放映技术的代表ALPD®也正是在利用这种手段消散斑。希望,在激光显示领域的发展中,大家能够相互促进,为整个行业的发展添砖加瓦。Reference
[3]J. W. Goodman. Speckle Phenomena in Optics: Theory and Applications. 2006.
[4]https://www.lipainfo.org/laser-projection/laser-regulations/.
[5]S.Roelandt, et al.Standardized speckle measurement method matched to human speckle perception in laser projection systems. Optics Express. 2012, 20(8): 8770-8783.
[6 W. J. Smith. Modern Optical Engineering. New York: McGraw-Hill International Book Co, 1966.
[7]J. Pokorny and V. C. Smith. How much light reaches the retina. Documenta Ophthalmologica Proceedings Series. 1997, 59: 491-511.
[8]C. Curcio. Human photoreceptor topography. J.Comp. Neurol. 1990, 292: 497-523.
[9]F. Shevlin. Phase randomization for spatio-temporal averaging of unwanted interference effects arising from coherence. 2018, 57(22): E6-E10.
免责声明:本文来源于中影光峰,本文仅代表作者个人观点,本站不作任何保证和承诺,若有任何疑问,请与本文作者联系。
最新动态更多
- 美视实力产品出货--500吋大型M工程银幕
- 闪耀一带一路 国画再续世博缘 ——中航国画激光
- 朗恒科技TVO-3H无压缩HDMI视频光端机用于4K拼接
- 5G大机遇下的两化融合发展之路暨两化百人会俱乐
- 传统拼接处理器与分布式拼接处理器的区别
- 顶尖数字艺术家云集 法国梅茨夏季星海艺术文化节
- 【走进深圳】库帕:打造差异化核心竞争优势
- 你知道光端机吗?对它的工作原理熟悉吗?
- 会展 | newline亮相2019北京部委央企及大型企业
- 从“人脸识别”向前一步 AI识别对象不断拓展
- 伦敦将打造LED外壳全沉浸式体验球形建筑
- 开启大屏幕 分享好时光 | 爱普生发布全球首款激
- “从教育工作者,到教育创新者”- 大理市互动教
- 【走进深圳】广景视睿:深化行业应用,赋能新场











官方微博